Notice
Recent Posts
Recent Comments
Link
| 일 | 월 | 화 | 수 | 목 | 금 | 토 |
|---|---|---|---|---|---|---|
| 1 | ||||||
| 2 | 3 | 4 | 5 | 6 | 7 | 8 |
| 9 | 10 | 11 | 12 | 13 | 14 | 15 |
| 16 | 17 | 18 | 19 | 20 | 21 | 22 |
| 23 | 24 | 25 | 26 | 27 | 28 | 29 |
| 30 |
Tags
- disgusting
- 회귀분석
- KNNImputer
- post man
- 오류
- cook's distance
- 기술통계분석
- 회귀모형
- 등분산검정
- contrasts can be applied only to factors with 2 or more levels
- VIF
- 워홀
- 이상치
- 코딩테스트
- 정규성
- 자기상관
- 디시전트리
- 언어분석
- 등분산성
- 엑셀
- 다중공선성
- by oneself
- 기본가정
- sql
- 전처리
- 예측
- 분류
- 선형성
- 이변량 분석
- R
Archives
- Today
- Total
excelsu의 공부 기록 블로그
[회귀] plot 검정 본문

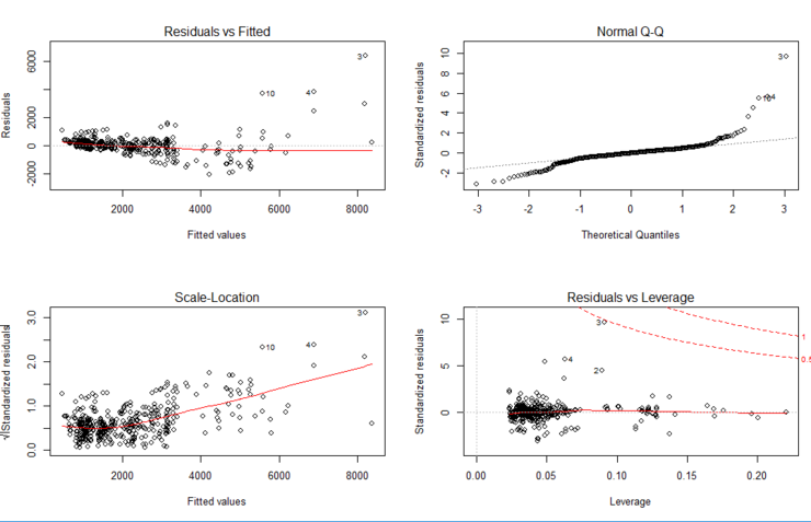
이미지 참조 : https://m.blog.naver.com/leedk1110/220775742538
첫째그림 : 잔차vs적합도(잔차산점도)->등분산성확인 (특정 패턴없을시), 선형성 확인(흩어진 형태 무작위,상하 대칭)
둘째그림 : qq-plot -> 정규성확인(대각선 상에 데이터들 존재)
셋째그림 : 표준화 잔차vs적합도->이상치 확인 (기울기0)
넷째그림 : 표준화 잔차vs레버리지-> 레버리지가 1에 가까울수록 이상치, cook's distance 넘어가는데이터 관리
'R' 카테고리의 다른 글
| [오류] 회귀분석 coefficients : (7 not defined because of singularities) (0) | 2022.07.04 |
|---|---|
| [R오류]number of rows in use has changed remove missing values (0) | 2022.07.01 |
| [R오류] contrasts can be applied only to factors with 2 or more levels (0) | 2022.06.30 |
| R 2개 집단 박스플롯 그리기 (0) | 2022.06.17 |
| R 에서 평균 비교 그래프 그리기(라이브러리 설치없이) (0) | 2022.06.17 |